深度学习基本原理简介易混淆的相关概念1 人工智能(AI)2 机器学习3 神经网络(Neural Networks)4 深度学习近十年推动深度学习快速普及的因素硬件大数据算法改进软件框架和 API未来JavaScript 深度学习的优缺点优势缺点TensorFlow.js通用工作流程三种层结构建立模型:forward pass感知机(Perceptron)激活函数 activation function类型分割线输出层训练模型:post pass损失函数 loss function梯度下降(gradient descent)算法批量梯度下降(Batch Gradient Descent, BGD)随机梯度下降(Stochastic Gradient Descent, SGD)小批量梯度下降(Mini-Batch Gradient Descent, MBGD)学习率与优化器 optimizer反向传播(back propagation)算法过拟合 over-fitted超参数 hyper parameter问题类型回归问题二分类问题混淆矩阵衡量指标二元交叉熵 binary cross entropyone-hot-encode多分类问题卷积神经网络循环神经网络附录:矩阵和张量运算 矩阵矩阵求导R 的张量运算对应元素运算点乘重整 reshape

深度学习在结构上是一种链式几何变换,本质上是一种高度复杂的非线性回归分析方法,应用重点在于预测而非解释1。
选择深度模型而非浅层模型2,本质上是牺牲一些可解释性来换取更好的预测性。所以,深度学习天然与更实用主义的产业界更亲和,而与更理论化的学术界更疏远。

在一定程度上,Artificial Intelligence 是自动化的另一种说法。



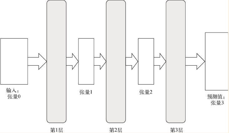
结构示意图:从输入张量X到输出张量Y,通过连续的数学运算层来转换数据的表示。

神经网络是用于解开复杂的高维数据流形的数学机器
深度学习指层数很多(前沿模型的层数甚至高达上千层)的神经网络模型,是转换数据表示的多阶段方法。
像任何革命一样,深度学习的革命是大量因素积累的产物。
支持并行计算的 GPU3 集群。业界前沿正在开发专门用于深度学习计算的 TPU(张量处理单元)。
互联网和移动互联网的普及,使拥有标记的数据(即{值:标签}对)指数级增长。
更好的激活函数(如 ReLU,线性整流函数)
更好的权重初始化方案
更好的参数优化方案(如 adam,RMSProp)
批次标准化、残差连接、深度可分卷积……
CUDA,TensorFlow,Keras……
深度学习可能会被过度炒作几年,但从长远来看,它仍是一场将改变我们的经济和生活的重大革命。
浏览器环境性能有限,商业前沿级别的复杂任务(如机器翻译)所需的超大规模模型的训练必须使用服务器集群。
TensorFlow.js | TensorFlow中文官网
tensorflow/tfjs-examples: Examples built with TensorFlow.js (github.com)
tensor flow,张量流,对多层神经网络很形象的提炼
TensorFLow,Google 开发的深度学习低阶 API
Keras,深度学习高阶API,提供了常用的神经网络层类型
TensorFlow.js
dense 层
卷积层
递归层
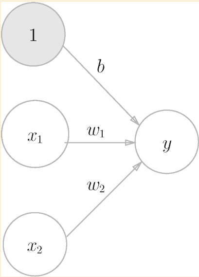
forward pass: 将

激活函数 h() 用 sigmoid, ReLU 等函数对输入信号的线性组合进行改造,然后发给下一个神经元。

sigmoid 函数(它的形状近似阶跃分段函数,但却是平滑可导的):
ReLU(Rectified Linear Unit, 线性整流)函数:
tanh 函数:

sigmoid 函数的缺点在于,当 x 值远离 0 时,导数几乎为0,使得梯度下降难以进行,这被称为“梯度消失”。而 ReLU 函数在 x>0 时的导数恒为 1,分析性质十分良好,故 ReLU 激活函数一般被作为隐藏层的默认激活函数。而输出层的激活函数,一般会根据问题的需要来选择(二分类问题用 sigmoid,多分类问题用 softmax)。
激活函数不能用线性函数,否则多层神经网络的输出还是输入的线性组合,就没必要用多层了。

多层感知机+激活函数就构成了神经网络。
神经网络本质上就是非线性函数的复合,每一层都是一个非线性函数,最后得到一个超级复杂的复合函数。

一元线性函数经过 sigmoid 函数的转换,在x-y坐标系中会显示为 S 型曲线;二元线性函数在三维直角坐标系中表现为二维平面,被 sigmoid 函数转换后会成为 S 型曲面。
曲面上 z=0.5 的点,投影到 x-y 平面上,是一条直线,称为类型分割线。该线的两边,z 值分别大于和小于0.5
但如果样本中 z 值大于和小于 0.5 的点无法用一条直线分开,便称之为线性不可分问题。此时,必须增加神经网络模型的层数,扭曲 sigmoid 曲面为更加复杂的形状,从而类型分割线也会扭曲为曲线,才能较好地拟合数据。

如图,单层两个神经元,即可处理线性可分的样本。

线性不可分的样本:
用两层神经网络(也被称为在输入层、输出层之外含有一个隐藏层),隐藏层包含 3 个(或以上)神经元,即可处理圆环型分布的样本。

隐藏层 3 个(或以上)神经元可以分离花瓣型分布的样本,但拟合效果不够好。4 个以上的神经元才能较好地处理。


“蚊香”型双螺旋样本,需要更多的层和更多的神经元。

输出为连续变量时,最后一层的激活函数用恒等函数。
输出为分类离散变量时,最后一层输出层的激活函数 softmax 函数。要分多少类,输出层就设定多少个神经元。
post pass: 确定最优参数的过程。
loss function: 从模型参数到模型的衡量标准统计量(比如,回归问题中常用的均方误差、分类问题中常用的交叉熵损失)的映射,表示模型性能的恶劣程度。
损失函数一般为多元函数。如图,为损失曲面(loss surface)——损失函数的可视化。

寻找最佳参数束(使损失函数最小),不一定要用数学思维硬算解析解。
也可以使用计算思维:从初始参数束开始,多次迭代,每次求出损失函数的梯度,然后顺着梯度的方向小幅移动参数束。
这个过程称为“训练”或“学习”。
每次迭代用全部样本数据计算 loss function, 迭代结果必然向全局最优点收敛。
优点
缺点
BGD 的迭代收敛曲线示意图可以表示如下:

每次迭代时随机选取样本中的一个数据计算 loss function。
优点
缺点
SGD 的迭代收敛曲线示意图可以表示如下,向全局最优点收敛的过程将是一个随机震荡的轨迹:

MBGD 是对 BGD 和 SGD 的折中。其思想是:每次迭代使用一个包含部分数据的随机小样本(称为mini-batch,小批量)封装为一个张量,来计算 loss function。
批尺寸(batch size)通常设为2的n次幂(16, 32, 64, 128, 256),这样可以发挥GPU的并行计算能力。
参数束每次迭代移动的幅度是梯度乘以学习率
学习率是人工设定的,往往要根据训练的结果进行调整。
学习率太小,训练太慢;学习率太大,参数会在最优点附近疯狂震荡,甚至发散到无穷大。
学习率也可以是变化的,其变化策略由优化器规定:
| TensorFlow.js API(字符串) | TensorFlow.js API(函数) | 描述 |
|---|---|---|
"sgd" | tf.train.sgd(alpha) | 固定学习率 |
"momentum" | tf.train.moment() | 参数的调整就像有惯性,不仅取决于当前梯度,还取决于之前参数变化的速度。这样就可能有足够的能量冲出势阱,避免被困在局部最优。 |
"rmsprop" | tf.train.rmsprop() | 通过记录每个权重梯度的均方根误差(root mean sqaure, RMS)的最近历史,来以不同程度缩放学习率 |
"adam" | tf.train.adam() | 适应性学习率策略与动量方法的结合 |
计算梯度要求偏导数。
如果参数数量比较大,求偏导的全局计算是非常复杂的。
因此可以用复合函数的链式求导法则,只要保存每一层的值,就可以代入链式法则算出某一点的导数。
反向传播算法使梯度下降变得可操作,从理论成为实践。
正常拟合:模型在训练集和测试集上都表现良好
欠拟合:模型在训练集上的表现就不好
过拟合:模型在训练集上的表现很好,但在测试集上的表现不好。表面上,很像人类在学习中死记硬背,而没有真正地理解问题。
过拟合总是可能发生的,因此要始终监控训练集之外的数据的性能。
神经网络的层数、各层神经元的数量、激活函数的形式、参数(w和b)的初始值、损失函数的形式、优化器的形式(梯度下降的具体算法)、优化器的学习率、模型训练的轮次数等,这些量属于超参数,是人为设定而模型无法训练的(一旦模型确定就不会改变)。
人们所说的调参,就是对这些超参数的人为优化设定。目前对调参尚无一套标准化的流程和方法(遍历所有超参数的计算开销过大,通常是不现实的)。
各输入字段的标准化,scale()
loss = "mse" 均方误差
metrics = c("mae") 平均绝对误差
数据量较少时,为避免抽样的波动,使用 K 折轮换验证
为避免过拟合太严重,使用隐藏层较少(1或2个)的小型网络
二分类问题中比较好的损失函数形式:loss = "binary_crossentropy"
二分类问题最后一层的激活函数应使用 sigmoid 函数,输出一个概率值。
使用时,可以对其规定阈值(可以不是 0.5!),超过该值归类为正,小于该值归类为负。

左上真正例5(TP),左下假正例(FP),右上假负例(FN),右下真负例(TN)
准确率(accuracy):(TP+TN)/(TP+TN+FP+FN). 'accuracy'也是 model.fit() 支持的度量指标。
精确率(precision):TP/(TP+FP),即真正例/预测的正例。如果对第Ⅰ类错误不关心,可以非常保守地预测真(宁放过不错杀,提高激活函数输出正例的阈值),放宽犯第Ⅰ类错误的概率,从而提高精确率。
召回率/查全率(recall 或 TPR):TP/(TP+FN),即真正例/实际正例。如果对第Ⅱ类错误不关心,可以非常激进地预测真(宁错杀不放过,降低激活函数输出正例的阈值),放宽犯第Ⅱ类错误的概率,而提高召回率。
误报率(FPR):FP/(FP+TN),即误报为正的负例/实际负例。
ROC(receiver operating characteristic curve)曲线:在某个 epoch 轮次上,以误报率 FPR 为横轴,召回率 recall 为纵轴的曲线。
AUC(area under the curve),积分 ROC 曲线下方的面积,可以量化 ROC 曲线的性能,是衡量二分类模型的比较理想的指标。
这是二分类问题中比较好的损失函数形式(前述 FPR, TPR 等指标在多数点的导数为0,会使得梯度全部变为0,从而参数束无法移动)。
keras::to_categorical(),可以对分类向量进行编码,将其变为矩阵,每列为类别,符合类别赋值为1,否则为0
中间层神经元的个数不应小于输出层的类别数
激活函数用 softmax 函数,输出属于 n 个类别的概率分布, 每个数据点的 n 个概率值总和为1
标签使用 one-hot-encode 编码为稀疏矩阵时,损失函数用分类交叉熵 categorical cross entropy(loss = "categorical_crossentropy",)
标签为整数时,损失函数用 loss = "sparse_categorical_crossentropy"
混淆矩阵可以对模型准确度提供更细粒度的信息。
适用:空间上有关联性的数据。
MNIST 手写数字识别问题,人们把层数加得越来越深,神经元个数越来越多,还用尽了各种防止过拟合的手段,但全连接神经网络的泛化能力(模型应用于测试集的准确率)仍然不足。
卷积神经网络使用了卷积层和池化层,能够从图像输入提取有用的特征,这一架构是神经网络领域多年的研究成果。
适用:时间上有关联性的数据。
自然语言处理(NLP)问题。
词嵌入:根据每个词的一系列特征,将词编码为向量空间中的一个向量。
嵌入矩阵是嵌入层的参数,可以通过训练,让模型自己寻找合适的特征。
这些“特征”的含义是什么?我们不清楚。
若
sweep()对两个维度不同的张量执行扩展运算
%*%
array_reshape()优先按照行排列,而 dim() <- c() 优先按照列排列,与 TensorFlow、Keras 不兼容。
因此在重整数据时,一定要用前者。
x1r$> (x <- matrix(1:6, nrow = 3, byrow = TRUE))2 [,1] [,2]3[1,] 1 24[2,] 3 45[3,] 5 66
7r$> (x_byrow <- reticulate::array_reshape(x, dim = c(6, 1))) 8 [,1]9[1,] 110[2,] 211[3,] 312[4,] 413[5,] 514[6,] 615
16r$> dim(x) <- c(6, 1)17
18r$> x19 [,1]20[1,] 121[2,] 322[3,] 523[4,] 224[5,] 425[6,] 6